At the CoRe Flow Lab, we advance the measurement, modeling, and control of complex reacting fluid flows to address critical challenges in aerospace engineering, energy generation, and sustainability. Our research centers on high-temperature, high-speed flow environments—particularly those relevant to hypersonic flight, earth reentry, and interplanetary reentry. These flows often involve plasmas—ionized, chemically reactive gases—under nonequilibrium conditions that pose unique scientific and engineering challenges. We investigate the experimental generation of such plasmas in ground-based test facilities and conduct detailed measurements to characterize their composition, thermal state, and kinetic processes. Our research also explores how these extreme flows interact with the thermal protection systems of hypersonic vehicles and spacecraft.
Beyond aerospace applications, our work extends to plasma processes in fusion reactors, plasma-assisted combustion (including hydrogen and ammonia as alternative fuels), plasma-based space propulsion, semiconductor manufacturing, catalytic processes, and biomedical engineering solutions enabled by nonequilibrium plasmas.
To push the boundaries of our scientific understanding, we utilize advanced optical and laser spectroscopic measurement techniques — including spontaneous and coherent Raman scattering, laser-induced fluorescence, and emission spectroscopy. These tools reveal the hidden structures of particle motion, chemical reactions, and energy exchange, from the microscopic to the macroscopic scale. Our approach is elevated by cutting-edge data science, using Bayesian inference and machine learning—such as convolutional neural networks—to extract deeper insights, quantify uncertainties, and bridge experimental data with physical models in unprecedented ways.
At the CoRe Flow Lab, we’re not just solving technical problems—we are redefining the limits of what is possible in aerospace engineering and beyond. Our mission is to develop technologies that make hypersonic flight and reentry safer and more efficient, open new avenues for sustainable space travel, and revolutionize how we generate and utilize energy. We believe that scientific innovation, grounded in a deep understanding of fundamental processes, is key to shaping a better, more connected, and more prosperous future for humanity.
We are a passionate and collaborative team, committed to curiosity, creativity, and impact. If you're an undergraduate or graduate student driven by bold ideas and a desire to make a difference, we invite you to join us. We want to explore new frontiers together, challenge conventional limits, and help build a future where the boundaries of Earth and space are only the beginning.
This webpage will be updated on a regular basis to reflect our research progress and to inform you off new developments. Join us on our journey to innovate, collaborate, and push the boundaries of aerospace engineering. For inquiries or opportunities, please contact Dr. Dan Fries at dan.fries@uky.edu.
Dan Fries is an Assistant Professor in the Mechanical and Aerospace Engineering Department, leading the CoRe Flow Lab (Complex Reacting Flow Lab). His research utilizes optical and laser spectroscopic measurement techniques for the experimental characterization of fluid mechanical, chemical, and interface processes in high-enthalpy and high-speed flows. To perform this research, the CoRe Flow Lab utilizes microwave and inductive plasma sources for the generation of high-enthalpy (nonequilibrium) plasma flows and works on the inversion of comprehensive measurement models for parameter inference and uncertainty quantification. The lab collaborates closely with researchers working on material science, advanced spectroscopy, and numerical simulations. Applications of the research include hypersonic flight, atmospheric reentry, chemical and electrical propulsion systems, and the reduction of the environmental footprint of these technologies.
Before coming to the University of Kentucky, Dr. Fries was a postdoctoral research fellow at the University of Texas at Austin and he received his Ph.D. from the Georgia Institute of Technology in Aerospace Engineering (2020). He is an alumni of the University of Stuttgart (Germany), a former Fulbright scholar, and on the Board of Directors of the Institute for Interstellar Studies.
Faculty Profile
Curriculum Vitae
The processes controlling the performance of thermal protection systems (TPS) during hypersonic flight primarily take place in the boundary layer region surrounding an air- or spacecraft. Recombination, accommodation, oxidation, pyrolysis, and radiative heat transfer are all processes that occur during the interaction of the high enthalpy flow with the heat shield material.
Developing models for these processes and the associated chemistry, that cover a range of pressures, temperatures and gas compositions, is critical for the reliable predictive design of TPS for high-speed transport and atmospheric reentry at earth and other planetary bodies in the solar system. Insights into the material response to such extreme flight conditions are also interesting for the development of plasma-facing components in fusion reactors and plasma-based material processing.
A 3kW microwave plasma torch mounted in a vacuum vessel is situated in the CoRe Flow Lab, to simulate the high-enthalpy flow region behind shocks during hypersonic flight and to match the resulting surface heat flux. We are also in the process of commissioning a 10 kW inductively coupled plasma torch facility for higher heat fluxes and supersonic approach flows. Emission and laser spectroscopy diagnostics are available for non-intrusive measurements.
Of current scientific interest are processes controlling the ablation of non-reusable heat shields for high-speed interplanetary reentry in different gas compositions, the behavior of ultra-high temperature ceramics for reusable heat shields, and the impact of spacecraft demise on the earth’s atmosphere. To study the gas-material interactions we develop spatially resolved laser spectroscopic diagnostics and advanced statistical inference techniques.
Picture of the plasma stream in the HELMUT microwave plasma generator.
Picture of a glowing graphite sample in a high-enthalpy plasma stream.
Diagram showing how measurement positions are registered relative to a moving material surface.
Conceptual illustration of chemical and radiative processes at the high-enthalpy & heat shield material interface.
Picture of the current state of the 10 kW inductively coupled plasma generator.
Raman scattering is a powerful technique to probe rotational and vibrational state population distributions of molecular and even some atomic species. We are in the process of optimizing a one-dimensional Raman scattering setup for measurements at sub-atmospheric pressures. This will allow us to quantify species number densities, nonequilibrium state distributions, and equilibrium rotational and vibrational temperatures through the boundary layer of models immersed in plasmas and hypersonic flows. The setup utilizes volume Bragg gratings for a spectrally extremely narrow rejection of the excitation laser wavelength and an emICCD detector. Pulse stretchers will be added in the future to allow for higher Raman signals without causing Raman pumping or dielectric breakdown in the probe volume.
The setup also serves as a basis for the extension to a coherent anti-Stokes Raman system, which provides a highly-directional measurement signal, species selectivity, and better single shot measurement potential.
Other projects in this area are the custom modification of an existing OH laser induced fluorescence measurement system to target atomic oxygen and nitrogen in a two-photon absorption laser induced fluorescence. And the development of a reference gas discharge cell.
Picture of a CARS setup the PI has worked on.
Schematic of an advanced Raman scattering diagnostic setup.
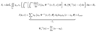
While the application of Emission Spectroscopy (ES) is limited to radiating environments, it has a great appeal due to its perceived simplicity and low barrier-to-entry. Thus, ES remains a technique of great experimental interest. However, the quantitative interpretation of ES data is challenging due to the complex underlying chemical and radiative mechanisms and the many sources of uncertainty which are often not rigorously quantified. Emission spectroscopy (ES) detects radiation from excited states and requires models to relate this to ground state properties. The measurements are line-of-sight integrated and lack spatial resolution unless specific techniques are used. Spectra often include baseline radiation and depend on database parameters with unquantified uncertainties. Long integration times, used to enhance signal, can introduce bias in non-uniform environments due to the non-linear relationship between radiation and gas properties.
To address these shortcomings and leverage the strengths of ES, we are developing an advanced framework for ES measurements that will take advantage of recent advances in algebraic reconstruction techniques, statistical inference, fast synthetization of spectra, and new hyperspectral measurement technologies. The framework attempts to address the inversion of the full ES measurement model, accounting for the actual light-collection volume and spatial reconstruction, spectroscopy models, kinetic-radiative models, Bayesian inversion for uncertainty quantification, and sparse spectral sampling for hyperspectral imaging.
We are actively developing this framework, applying it to measurements of fundamental physical properties in inductive and capacitive plasmas, the evaluation of spectroscopic measurements from the UK KRUPS-capsules during hypersonic reentry, and spectroscopic data from fusion devices.
Flow diagram showing the parts and connections for an advanced optical emission spectroscopy diagnostic framework.